Mean Squared Error: In and Out of Sample

Review of key concepts

Use data to learn a model. What does that mean?

Begin with some data. Assume a linear model.

Estimate a linear model


Call:
lm(formula = y ~ x, data = simulated)

Residuals:
      Min        1Q    Median        3Q       Max 
-0.138289 -0.069877  0.006674  0.056056  0.203069 

Coefficients:
            Estimate Std. Error t value Pr(>|t|)    
(Intercept)  0.18696    0.03969    4.71 0.000175 ***
x            0.12455    0.01688    7.38 7.58e-07 ***
---
Signif. codes:  0 '***' 0.001 '**' 0.01 '*' 0.05 '.' 0.1 ' ' 1

Residual standard error: 0.09133 on 18 degrees of freedom
Multiple R-squared:  0.7516,    Adjusted R-squared:  0.7378 
F-statistic: 54.47 on 1 and 18 DF,  p-value: 7.578e-07

Estimate a linear model

The model learned coefficient values from the data.

How? It learned by minimizing the sum of squared errors

How? It learned by minimizing the sum of squared errors

\[ \begin{aligned} \text{Sum of squared error:}\qquad &\sum_{i\in\text{learning}} \left(y_i - \hat{y}_i\right) ^ 2 \\ \text{Mean squared error:}\qquad &\frac{1}{n_\text{Learning}}\sum_{i\in\text{learning}} \left(y_i - \hat{y}_i\right) \end{aligned} \]

  • We estimated the line in learning data
  • Now we evaluate the estimated line in testing data

Learning data (used to estimate the line)

Testing data (used to evaluate the already-learned line)

When will prediction errors in learning and testing data differ?

True model:

\[ \text{E}\left(Y\mid\vec{X}\right) = X_1\beta_1 + X_2\beta_2 + ... + X_{10}\beta_{10} \] with \(\beta_1 = .9\), \(\beta_2 = 0.8\), , \(\beta_9 = 0.1\), \(\beta_{10} = 0\).

We observe \(n = 300\) cases.

Recap: Surprising facts

  • An estimated model picks up both
    • Signal. True patterns linking \(\vec{X}\) to \(Y\)
    • Noise. Random patterns particular to the learning data.

Recap: Surprising facts

  • As you add predictors to the model
    • error in learning data goes down
    • error in testing data may go up

Why? With many predictors, the noise may dominate the signal.

A use case for train and test: Tuning parameters

for_sample_split <- read_csv("https://soc114.github.io/assets/for_sample_split.csv")
  • Predictors x1 through x100
  • Outcome y
  • \(n\) = 300 cases

A use case for train and test: Tuning parameters

Recall penalized (ridge) regression. Chooses \(\vec\beta\) to minimize

\[ \begin{aligned} \underbrace{\sum_i\left(Y_i - \hat{Y}_i\right)^2}_\text{Sum of Squared Error} + \underbrace{\lambda \sum_{j} \beta_j^2}_\text{Penalty Term} \end{aligned} \]

But how to choose \(\lambda\)?

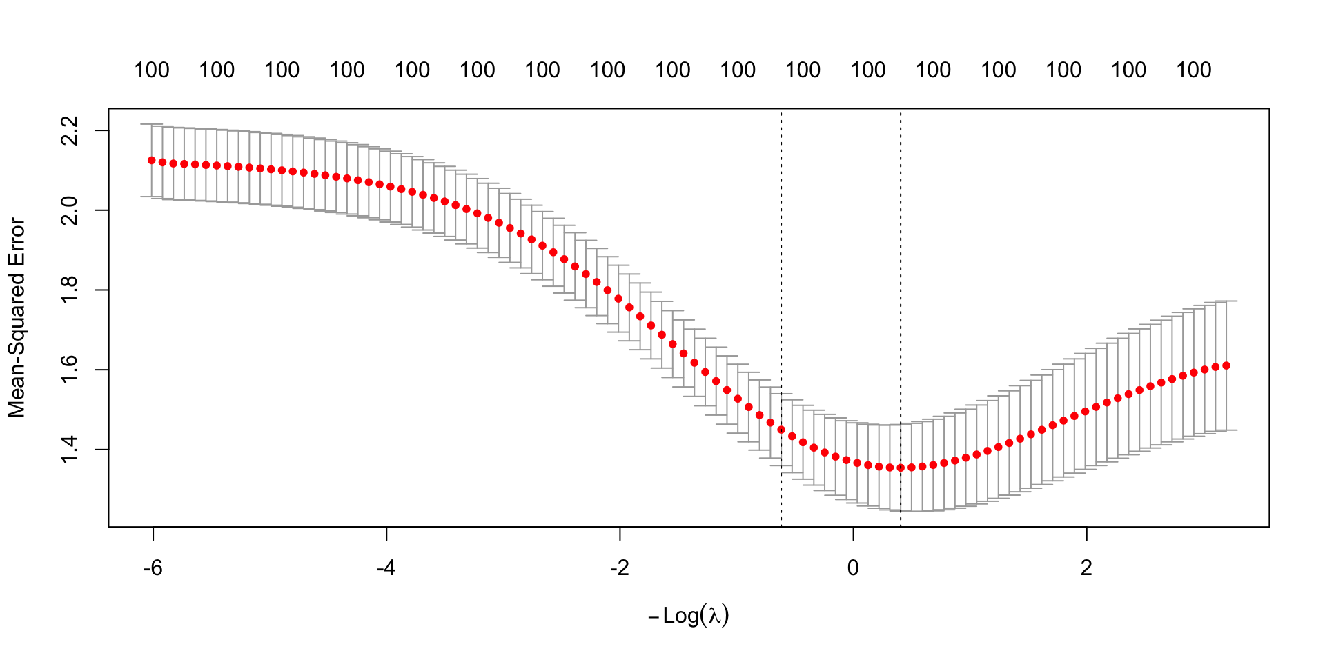
A use case for train and test: Tuning parameters

library(glmnet)
X <- model.matrix(y ~ ., data = for_sample_split)
y <- for_sample_split |> pull(y)
penalized_regression <- cv.glmnet(x = X, y = y, alpha = 0)

cv.glmnet chooses \(\lambda\) for you. How?

A use case for train and test: Tuning parameters

plot(penalized_regression)

It chooses \(\lambda\) to minimize out-of-sample prediction error.

Recap: Data-driven model selection

When there are many candidate models, you can choose the one with the lowest out-of-sample mean squared error.